In keeping with my namesake, “Eat, Pray, Solve for X,” it only makes sense for me to make my first *real* post about solving for x! My thoughts on Combining Like Terms were just a stepping stone in the process…
In the good ol’ days, I used to solve equations traditionally just like my teachers taught me: +x. +x below the equation on both sides, – 7 -7, etc., etc. I was great at it! I aced just about every math test and quiz as a kid, and so I walked into my first day of Algebra 1 with the “THIS IS SO EASY!” mentality that a lot of new teachers fall victim to. Only it wasn’t. I began to dread the days of solving equations because kids just didn’t get it. Oh, they could complete each step individually… but pulling everything together was next to impossible.
- Students regularly confused the steps of combining like terms with moving all like terms to one side of the equation.
- Students really did not understand that -2x meant -2*x, so they would add 2 instead of dividing by -2 in an attempt to eliminate the coefficient.
- Students get lazy really quickly and start writing +x on one side of the equation but not the other. The inconsistency drives me nuts! It’s not mathematical!
- FORGET literal equations or manipulating linear equations into y = mx + b form…
I was at my wit’s end when BVD, a special ed team-teacher and dear friend of mine, introduced something she had learned: the river method. With set steps that worked for any equation. Mind. Blown. I was absolutely skeptical, but dove right in because I had been failing miserably up to that point. And let me tell you… IT WORKED! We led the class through the unit with a foldable, notes, and activities, and consistently practiced with the students for the remainder of the year. Two years later, we got feedback from the Algebra 2 team that our kids were able to solve equations like never before. (This method also contributed to our department’s Alg 1 state test scores rising from a 52% pass rate to 74% in a single year!) And if there’s one thing a kid should be able to do when he walks out of my Algebra 1 doors at the end of the year, it’s solve an equation.
So… (1) If you, like me, are at your wit’s end and desperately need a change, THIS METHOD’S FOR YOU.
(2) If you love the good ol’ days and don’t see anything wrong with traditional solving, THIS METHOD’S FOR YOU.
(3) If you’re totally skeptical because there are literally infinite ways to solve equations, THIS METHOD’S FOR YOU. Basically, these step-by-step “rules” help students to create a framework and develop mathematical understanding of terms, balancing equations, etc. Then, once they’ve mastered the rules, they can venture outside the box because they *get* it. We, as math teachers, are mathematically inclined and it comes naturally to us. Many students just don’t see the world in the same way we do… yet.
(4) If you don’t mind solving equations so much, but literal equations are *the worst,* THIS METHOD’S FOR YOU. After you finish reading this post, check out my post on solving literal equations. This method addresses many student misconceptions about terms and inverse operations with adding/subtracting/multiplying/dividing. It naturally sets them up for success with literal equations because the process is consistent.

(5) If nothing else has worked, consider this: one of my challenging kiddos in Algebra Part 1 was failing first quarter with a 22.9%, due to attendance and lack of understanding. He earned a B+ on our Solving Equations Quiz using the river method! Here’s proof:
**Now that you’re convinced… THE RIVER METHOD!**
When I teach this unit, I first talk with students about inverse operations. (The inverse of adding 6 is subtracting 6. The inverse of dividing by -4 is multiplying by -4.) We even do a quick worksheet practicing this concept. Then I dive right in to solving the most difficult equations – basically my philosophy in math (where I can apply it), and in life as a whole. If students can complete the most difficult kinds of problems up front, the rest are a cinch!
Here are the steps for solving any equation:
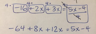
(1) DISTRIBUTE: Get rid of parentheses. Multiply the number in front of parentheses with each term inside:

(2) GET RID OF FRACTIONS: Box all terms. Include the sign in front. Fractions cannot be split up by boxes. Multiply each term by the denominator.

(3) BOX TERMS: Here, I use circles for number terms and boxes for x terms. Create a “river” down the equal sign to show the balance.

(4) SORT TERMS: Label a side for variables (x in this case) and the other for numbers (#). Here I put x on the left, but I could have chosen right instead. (I love having that conversation where one kid tries the variable on the other side and ends up with the same. exact. answer.) Also, when I teach, I work my way down the line and ask about each term “Does it stay or does it go? If it changes sides, it changes signs.”

(5) COMBINE LIKE TERMS: I let students use their calculators for basic operations as needed. Doing this step after sorting terms prevents students from doing things like subtracting 12x from 8x and 12x on the same side of the equation.

(6) GET RID OF COEFFICIENTS: Divide by the coefficient of x.

Aaand we’re done! 
Now would be a good time to have your students check their answers, check for correct units, make sure they’re answering the question, etc.
I am SO passionate about this method of solving equations and the success I’ve had that I presented on it with BVD at our county’s math development. Is it perfect? Practically. I like that the river method reinforces the balance of equations. It’s also clean! Students aren’t writing + 5 randomly below one side of an equation. This method gives them permission to write the change only once. And, as students get really good at this method, I find that they no longer need to box their terms or actually label the sides. The scaffolds that were so essential to developing student understanding slowly drift away naturally.
The skeptics out there are probably asking, “but what about justification with the properties of equality?” Honestly, the addition and subtraction properties of equality are a little tricky, but they tend to trip students up regardless of solving method. I teach my students to ask “What changed in this step? Well, if the term became a positive, it means I ADDED, so it’s addition property of equality.” You can also go so far as to copy the problem and write -5x on both sides of the equation, IN LINE with the rest of it. This demonstrates that when 5x and -5x cancel you’re left with only -5x on the left of the equation.
Pictures of the free (!) Solving Equations Foldable on Teachers Pay Teachers:
Best of luck!
– Miss Elsie
Pingback: Simplifying Radicals *with factor ladders* | Eat, Pray, Solve for X
Pingback: Literal Equations! *river style* | Eat, Pray, Solve for X
Pingback: Multiplying Polynomials *with boxes* | Eat, Pray, Solve for X
Pingback: Math = Gibberish: The UPSC Approach to Teaching Word Problems | Eat, Pray, Solve for X