Happy Thursday everyone! We’re just 6 short weeks away from the end of the year, which just blows my mind. There is a *whole* lot to do between now and then.
…BUUUUUT since my last blog post, my Algebra Part 1 students have learned to FULLY FACTOR! I am amazed! These rock-stars are factoring the GCF, by Grouping, a difference of squares, and any and all trinomials. 90% of them got As and Bs on their factoring quiz, so I will take that as a victory. Granted, because it’s Algebra PART 1, I’m still giving them instructions to factor out the GCF or Factor by Grouping, but I’d say at least half would be able to look at a random question and know which type of factoring they’d need to apply.
Again, my goal this year is to strengthen their “basic” math skills so that when they get to the more application-focused Algebra 1 types of questions next year, they will be successful at the execution of the math and just need to practice the application part of it.
So, if you didn’t read my last post on factoring out the Greatest Common Factor, check it out here.
STEP 2: FACTOR BY GROUPING (Option A)
As I acknowledged in my first factoring post, Factor by Grouping tends to be an Algebra 2 topic. However, it’s a great, mathematical way to factor trinomials, so I just dive in with my Algebra 1 students! It adds a layer of complexity that in the long run helps them to be super successful. Another thing I should add: before I start factoring with my students, I have very specific ways of teaching simplifying exponents and adding, subtracting, multiplying, and dividing polynomials. These methods of writing out exponents, boxing terms, and multiplying polynomials with boxes build true intuition so students are more successful with factoring. That means TONS of potential blog posts/topics for tons of other days… (my list just keeps growing!)
So here we go!
(1) Split the problem in half with a squiggly line – students should be factoring the GCF out of the first 2 terms and the last 2 terms.
*This is incredibly tied to prime factorization ladders, but in this instance our common factors do NOT have to be prime – we’re not trying to simplify radicals!*
(2) Factor out the GCF of the first two terms.
- The numerical GCF of the first two terms is 7
- Write the quotient underneath each respective term and create a second ladder.
- The variable GCF is n cubed. Write the new quotient underneath each respective term.

- NOTE: Some students may need to visually see the GCF of n cubed. I’ll actually take the time to write out 4 ns and 3 ns so they can see how many they need to eliminate from each term. For example:

- ADVANCED students may not need 2 separate “ladder” rungs! They may be able to do all of this in 1 step. You can structure the process as needed.
- As I write my answer, I encourage students to write the front factors in front of the parentheses, and the result of the GCF factoring inside the parentheses. This reinforces the ideas we learned with GCF.

(3) Factor out the GCF of the last two terms.
- ALWAYS have students factor out a negative leading coefficient!
- *We* know that the GCF of -20 and 24 is -4, but if students need to complete this in two different steps, they can factor out -2 first, and then factor out a second 2. We then talk about how important it is to *multiply* the factors that we create on the outside of each ladder.
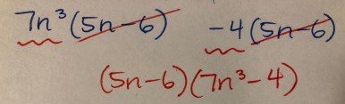
- Then write the -4 in front of the (5n-6) result.
- Emphasize the fact that the bottom of each ladder should MATCH when students have correctly factored the GCF out of both halves of the problem.

(4) Write the common factor once and put the other terms together to make a second factor.
- I actually talk about how we can cross out the (5n – 6) out of each section of the problem, just like we do with common numbers and common variables.

(5) Check your work!
- Using multiply boxes that the students have *already* mastered, we check our work.
- One factor goes on the left of the box, one factor on top.
- *Multiply to get the middle, add to get the answer!*

I love asking the kids if they trust me or if they want me to prove to them that these factor will give them the same expression that they started with. They usually get tired of checking and say “WE TRUST YOU! WE TRUST YOU!”
FACTOR BY GROUPING (Option B)
If your students have a strong sense of their factors (and can easily determine the greatest common factor of numbers such as 35 and -42), you can have students factor with boxes instead.
We will use the same question from Option A above to show a slightly different process.
(1) Create a 2 x 2 box
(2) Write one of the four terms in each box. I usually go in order from left to right, top to bottom for consistency’s sake. If your students struggle with recognizing the GCF of two variables with different exponents, you can have them write out their variables.

(3) Factor the GCF out of each row, crossing out the common variables in the process. Factor out the negative if it appears in the front/left-most box.

(4) Factor the GCF out of each column, crossing out the common variables in the process. Factor out the negative if it appears in the top-most box.

(5) Write your factors with parentheses, putting + between terms that have no sign. If students do not need the additional support of expanding their variables within each box, just have them write n^3, etc.

TRICKS OF THE TRADE:
See this post for more updated information on Factoring Prep.

(1) Factor Lists!
Leading up to the unit on factoring, I have students practice writing down all factors of given numbers. This takes away some of their reliance on the calculator later on.
It’s a great white-board activity when you have 5 minutes of free time. We don’t focus on negative numbers times negative numbers to get positive results, but eventually discuss them when we get to trinomial factoring.
(2) Diamond Math!
These diamonds are a FABULOUS way for students to organize their thinking around “what 2 numbers *multiply* to give you ____ and *add* to give you____?” The top of the diamond is the multiply number and the bottom is the add number. In conjunction with factor lists, these diamonds are dynamite. After all, diamonds *ARE* a girl’s best friend, no?!
I begin leading students through these exercises for 5-10 minutes a day for a week or two before we begin trinomial factoring. Until students get really comfortable with the structure, I actually write a small multiply dot in the top part of the x and a small addition sign in the bottom part of the x.
For a structured approach to Diamond Math, check out this free (!) resource on TPT. For a digital version of Diamond Math, check out this Google slides resource on TPT.
Look up https://www.worksheetworks.com/math/diamond-problems.html
The early worksheets on this website even help to build understanding of how the diamond numbers are related, and you can regenerate infinitely many options for however many practice sessions you need.
To Diamonds!
-Ms. Elsie
Pingback: Factoring Part 3: Trinomials | Eat, Pray, Solve for X
Pingback: Multiplying Polynomials *with boxes* | Eat, Pray, Solve for X
Pingback: Factoring Part 0: Factoring Prep! | Eat, Pray, Solve for X
Pingback: Factoring Part 1: GCF | Eat, Pray, Solve for X